Упражнение 5.27 ГДЗ Мерзляк 10 класс Углубленный уровень (Алгебра)
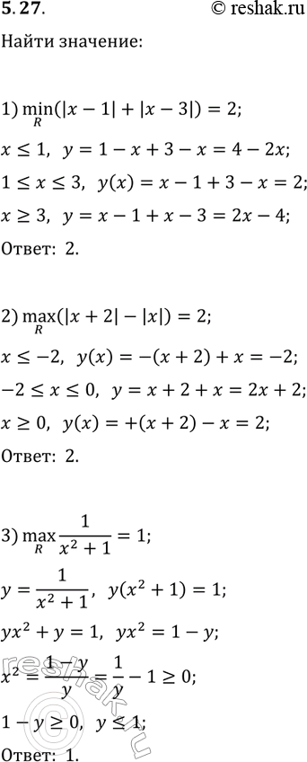
5.27. Найдите: 1) min(R, |x-1|+|x-3|); 2) max(R, |x+2|-|x|); 3) max(R, 1/(x^2+1)). *Цитирирование задания со ссылкой на учебник производится исключительно в учебных целях для лучшего понимания разбора решения задания.

Ниже вариант решения задания из учебника Мерзляк, Номировский, Поляков 10 класс, Просвещение:
5.27. Найдите:
1) min(R, |x-1|+|x-3|);
2) max(R, |x+2|-|x|);
3) max(R, 1/(x^2+1)).
