Упражнение 5.25 ГДЗ Мерзляк 10 класс Углубленный уровень (Алгебра)
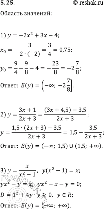
5.25. Найдите область значений функции: 1) y=-2x^2+3x-4; 2) y=(3x+1)/(2x+3); 3) y=x/(x^2-1). *Цитирирование задания со ссылкой на учебник производится исключительно в учебных целях для лучшего понимания разбора решения задания.

Ниже вариант решения задания из учебника Мерзляк, Номировский, Поляков 10 класс, Просвещение:
5.25. Найдите область значений функции:
1) y=-2x^2+3x-4; 2) y=(3x+1)/(2x+3); 3) y=x/(x^2-1).
