Упражнение 5.26 ГДЗ Мерзляк 10 класс Углубленный уровень (Алгебра)
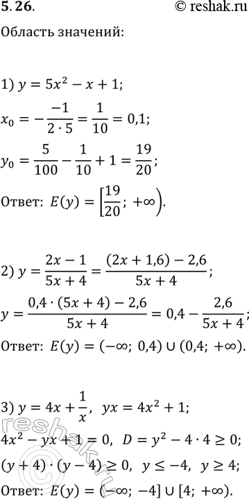
5.26. Найдите область значений функции: 1) y=5x^2-x+1; 2) y=(2x-1)/(5x+4); 3) y=4x+1/x. *Цитирирование задания со ссылкой на учебник производится исключительно в учебных целях для лучшего понимания разбора решения задания.

Ниже вариант решения задания из учебника Мерзляк, Номировский, Поляков 10 класс, Просвещение:
5.26. Найдите область значений функции:
1) y=5x^2-x+1; 2) y=(2x-1)/(5x+4); 3) y=4x+1/x.
