Упражнение 52.10 ГДЗ Мерзляк 10 класс Углубленный уровень (Алгебра)
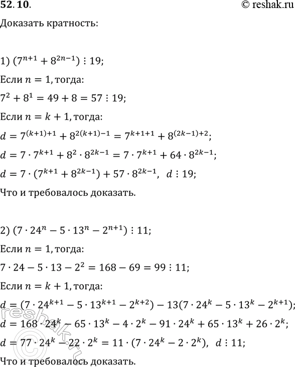
52.10. Докажите, что для любого натурального n: 1) (7^(n+1)+8^(2n-1))?19; 2) (7·24^n-5·13^n-2^(n+1))?11. *Цитирирование задания со ссылкой на учебник производится исключительно в учебных целях для лучшего понимания разбора решения задания.

Ниже вариант решения задания из учебника Мерзляк, Номировский, Поляков 10 класс, Просвещение:
52.10. Докажите, что для любого натурального n:
1) (7^(n+1)+8^(2n-1))?19; 2) (7·24^n-5·13^n-2^(n+1))?11.
