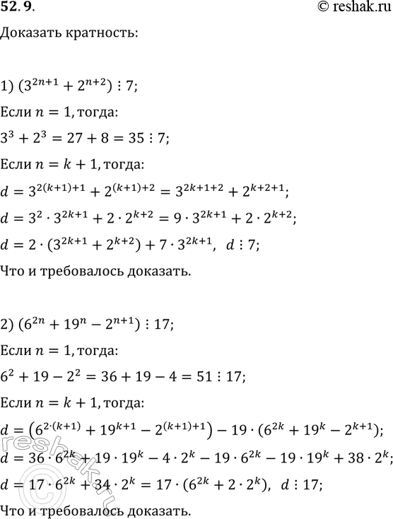
Упражнение 52.9 ГДЗ Мерзляк 10 класс Углубленный уровень (Алгебра)
52.9. Докажите, что для любого натурального n: 1) (3^(2n+1)+2^(n+2))?7; 2) (6^(2n)+19^n-2^(n+1))?17. *Цитирирование задания со ссылкой на учебник производится исключительно в учебных целях для лучшего понимания разбора решения задания.

Ниже вариант решения задания из учебника Мерзляк, Номировский, Поляков 10 класс, Просвещение:
52.9. Докажите, что для любого натурального n:
1) (3^(2n+1)+2^(n+2))?7; 2) (6^(2n)+19^n-2^(n+1))?17.
