Упражнение 52.7 ГДЗ Мерзляк 10 класс Углубленный уровень (Алгебра)
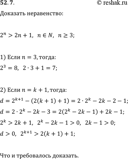
52.7. Докажите неравенство 2^n > 2n+1, где n?N, n?3. *Цитирирование задания со ссылкой на учебник производится исключительно в учебных целях для лучшего понимания разбора решения задания.

Ниже вариант решения задания из учебника Мерзляк, Номировский, Поляков 10 класс, Просвещение:
52.7. Докажите неравенство 2^n > 2n+1, где n?N, n?3.
