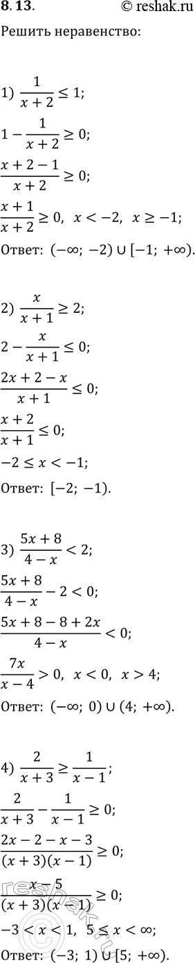
Упражнение 8.13 ГДЗ Мерзляк 10 класс Углубленный уровень (Алгебра)
8.13. Решите неравенство: 1) 1/(x+2)?1; 3) (5x+8)/(4-x) 2) x/(x+1)?2; 4) 2/(x+3)?1/(x-1). *Цитирирование задания со ссылкой на учебник производится исключительно в учебных целях для лучшего понимания разбора решения задания.

Ниже вариант решения задания из учебника Мерзляк, Номировский, Поляков 10 класс, Просвещение:
8.13. Решите неравенство:
1) 1/(x+2)?1; 3) (5x+8)/(4-x)
2) x/(x+1)?2; 4) 2/(x+3)?1/(x-1).
