Упражнение 2.11 ГДЗ Мерзляк 11 класс Базовый уровень (Алгебра)
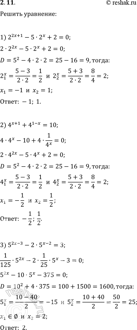
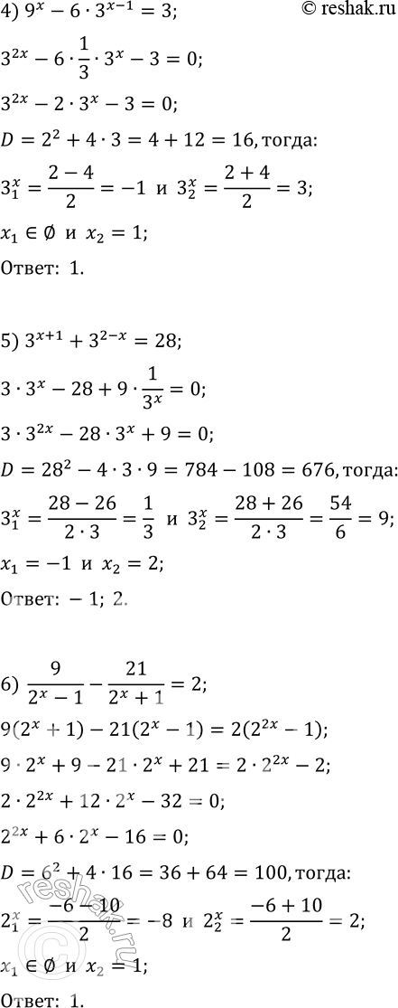
2.11. Решите уравнение: 1) 2^(2x+1)-5·2^x+2=0; 4) 9^x-6·3^(x-1)=3; 2) 4^(x+1)+4^(1-x)=10; 5) 3^(x+1)+3^(2-x)=28; 3) 5^(2x-3)-2·5^(x-2)=3; 6) 9/(2^x-1)-21/(2^x+1)=2. *Цитирирование задания со ссылкой на учебник производится исключительно в учебных целях для лучшего понимания разбора решения задания.


Ниже вариант решения задания из учебника Мерзляк, Номировский, Полонский 11 класс, Просвещение:
2.11. Решите уравнение:
1) 2^(2x+1)-5·2^x+2=0; 4) 9^x-6·3^(x-1)=3;
2) 4^(x+1)+4^(1-x)=10; 5) 3^(x+1)+3^(2-x)=28;
3) 5^(2x-3)-2·5^(x-2)=3; 6) 9/(2^x-1)-21/(2^x+1)=2.
