Упражнение 3.1 ГДЗ Мерзляк 11 класс Базовый уровень (Алгебра)
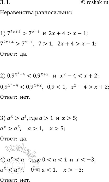
3.1. Равносильны ли неравенства: 1) 7^(2x+4) > 7^(x-1) и 2x+4 > x-1; 2) 0,9^(x^2-4) 3) a^x > a^5, где a >
Ниже вариант решения задания из учебника Мерзляк, Номировский, Полонский 11 класс, Просвещение:
3.1. Равносильны ли неравенства:
1) 7^(2x+4) > 7^(x-1) и 2x+4 > x-1;
2) 0,9^(x^2-4)
3) a^x > a^5, где a > 1, и x > 5;
4) a^x

