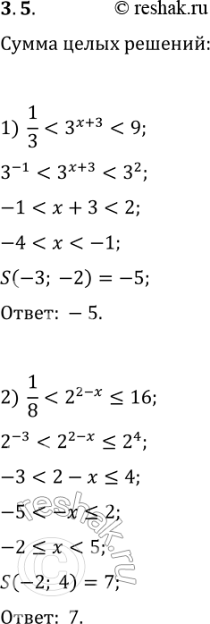
Упражнение 3.5 ГДЗ Мерзляк 11 класс Базовый уровень (Алгебра)
3.5. Найдите сумму целых решений неравенства: 1) 1/3 *Цитирирование задания со ссылкой на учебник производится исключительно в учебных целях для лучшего понимания разбора решения задания.

Ниже вариант решения задания из учебника Мерзляк, Номировский, Полонский 11 класс, Просвещение:
3.5. Найдите сумму целых решений неравенства:
1) 1/3
