Упражнение 3.2 ГДЗ Мерзляк 11 класс Базовый уровень (Алгебра)
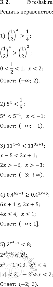
3.2. Решите неравенство: 1) (1/2)^x > 1/4; 4) 0,4^(6x+1)?0,4^(2x+5); 7) 0,3^(4x-8) > 1; 2) 5^x 3) 11^(x-5) (1/9)^(x+2); 9) (1/36)^(2-x) *Цитирирование задания со ссылкой на учебник производится исключительно в учебных целях для лучшего понимания разбора решения задания.
Ниже вариант решения задания из учебника Мерзляк, Номировский, Полонский 11 класс, Просвещение:
3.2. Решите неравенство:
1) (1/2)^x > 1/4; 4) 0,4^(6x+1)?0,4^(2x+5); 7) 0,3^(4x-8) > 1;
2) 5^x
3) 11^(x-5) (1/9)^(x+2); 9) (1/36)^(2-x)


