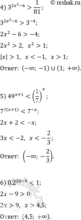
Упражнение 3.3 ГДЗ Мерзляк 11 класс Базовый уровень (Алгебра)
3.3. Решите неравенство: 1) 6^(7x-1) > 6; 3) (2/3)^x > (3/2)^4; 5) 49^(x+1) 2) 10^x 1/81; 6) 0,2^(2x-9) *Цитирирование задания со ссылкой на учебник производится исключительно в учебных целях для лучшего понимания разбора решения задания.
Ниже вариант решения задания из учебника Мерзляк, Номировский, Полонский 11 класс, Просвещение:
3.3. Решите неравенство:
1) 6^(7x-1) > 6; 3) (2/3)^x > (3/2)^4; 5) 49^(x+1)
2) 10^x 1/81; 6) 0,2^(2x-9)


