Упражнение 3.4 ГДЗ Мерзляк 11 класс Базовый уровень (Алгебра)
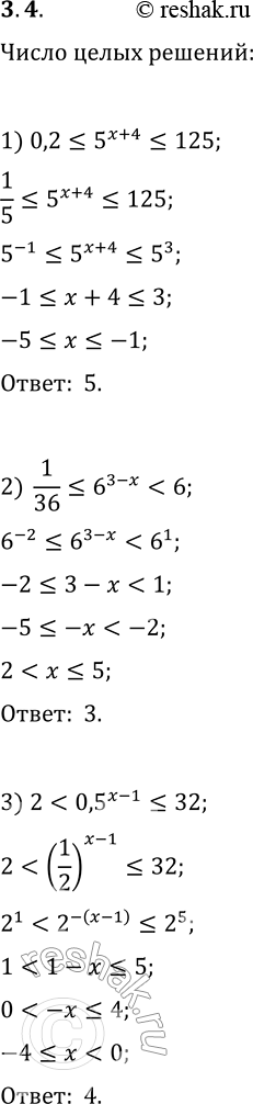
3.4. Сколько целых решений имеет неравенство: 1) 0,2?5^(x+4)?125; 2) 1/36?6^(3-x) *Цитирирование задания со ссылкой на учебник производится исключительно в учебных целях для лучшего понимания разбора решения задания.

Ниже вариант решения задания из учебника Мерзляк, Номировский, Полонский 11 класс, Просвещение:
3.4. Сколько целых решений имеет неравенство:
1) 0,2?5^(x+4)?125; 2) 1/36?6^(3-x)
