Упражнение 3.12 ГДЗ Мерзляк 11 класс Базовый уровень (Алгебра)
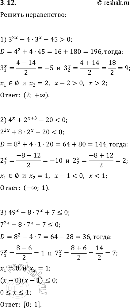
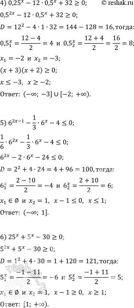
3.12. Решите неравенство: 1) 3^(2x)-4·3^x-45 > 0; 4) 0,25^x-12·0,5^x+32?0; 2) 4^x+2^(x+3)-20 3) 49^x-8·7^x+7?0; 6) 25^x+5^x-30?0. *Цитирирование задания со ссылкой на учебник производится исключительно в учебных целях для лучшего понимания разбора решения задания.


Ниже вариант решения задания из учебника Мерзляк, Номировский, Полонский 11 класс, Просвещение:
3.12. Решите неравенство:
1) 3^(2x)-4·3^x-45 > 0; 4) 0,25^x-12·0,5^x+32?0;
2) 4^x+2^(x+3)-20
3) 49^x-8·7^x+7?0; 6) 25^x+5^x-30?0.
