Упражнение 3.8 ГДЗ Мерзляк 11 класс Базовый уровень (Алгебра)
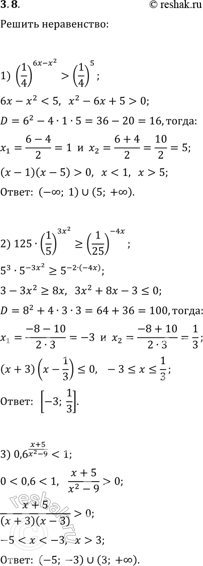
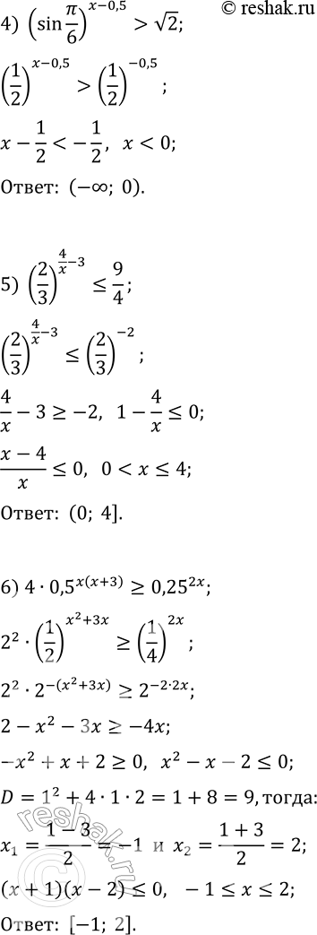
3.8. Решите неравенство: 1) (1/4)^(6x-x^2) > (1/4)^5; 4) (sin(?/6))^(x-0,5) > v2; 2) 125·(1/5)^(3x^2)?(1/25)^(-4x); 5) (2/3)^(4/x-3)?9/4; 3) 0,6^(x+5)/(x^2-9) *Цитирирование задания со ссылкой на учебник производится исключительно в учебных целях для лучшего понимания разбора решения задания.


Ниже вариант решения задания из учебника Мерзляк, Номировский, Полонский 11 класс, Просвещение:
3.8. Решите неравенство:
1) (1/4)^(6x-x^2) > (1/4)^5; 4) (sin(?/6))^(x-0,5) > v2;
2) 125·(1/5)^(3x^2)?(1/25)^(-4x); 5) (2/3)^(4/x-3)?9/4;
3) 0,6^(x+5)/(x^2-9)
