Упражнение 3.9 ГДЗ Мерзляк 11 класс Базовый уровень (Алгебра)
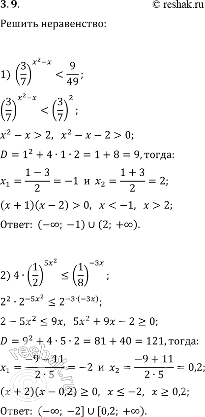
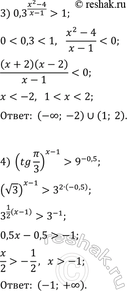
3.9. Решите неравенство: 1) (3/7)^(x^2-x) 1; 2) 4·(1/2)^(5x^2)?(1/8)^(-3x); 4) (tg(?/3))^(x-1) > 9^(-0,5). *Цитирирование задания со ссылкой на учебник производится исключительно в учебных целях для лучшего понимания разбора решения задания.


Ниже вариант решения задания из учебника Мерзляк, Номировский, Полонский 11 класс, Просвещение:
3.9. Решите неравенство:
1) (3/7)^(x^2-x) 1;
2) 4·(1/2)^(5x^2)?(1/8)^(-3x); 4) (tg(?/3))^(x-1) > 9^(-0,5).
