Упражнение 9.8 ГДЗ Мерзляк 11 класс Базовый уровень (Алгебра)
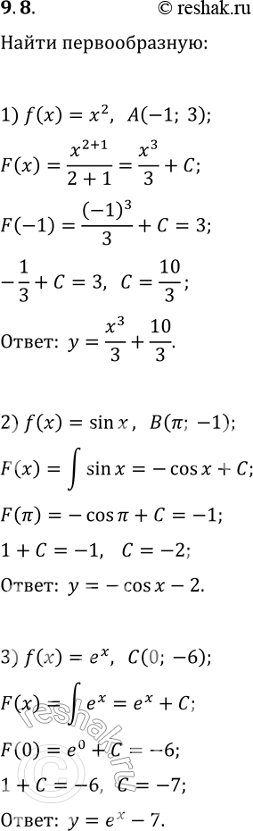
9.8. Для функции f найдите первообразную, график которой проходит через указанную точку: 1) f(x)=x^2, A(-1; 3); 3) f(x)=e^x, C(0; -6). 2) f(x)=sin(x), F(?;

Ниже вариант решения задания из учебника Мерзляк, Номировский, Полонский 11 класс, Просвещение:
9.8. Для функции f найдите первообразную, график которой проходит через указанную точку:
1) f(x)=x^2, A(-1; 3); 3) f(x)=e^x, C(0; -6).
2) f(x)=sin(x), F(?; -1);
