Упражнение 9.9 ГДЗ Мерзляк 11 класс Базовый уровень (Алгебра)
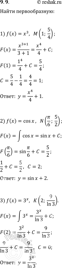
9.9. Для функции f найдите первообразную, график которой проходит через указанную точку: 1) f(x)=x^3, M(1; 5/4); 3) f(x)=3^x, K(2; 9/ln 3).

Ниже вариант решения задания из учебника Мерзляк, Номировский, Полонский 11 класс, Просвещение:
9.9. Для функции f найдите первообразную, график которой проходит через указанную точку:
1) f(x)=x^3, M(1; 5/4); 3) f(x)=3^x, K(2; 9/ln 3).
2) f(x)=cos(x), N(?/6; 5/2);
