Упражнение 511 ГДЗ Никольский Потапов 9 класс (Алгебра)
511. Задача аль-Караджи (Иран, XI в.). Докажите, что для любого натурального n выполняется равенство 1^3+2^3+3^3+...+n^3=(1+2+3+..+n)^2


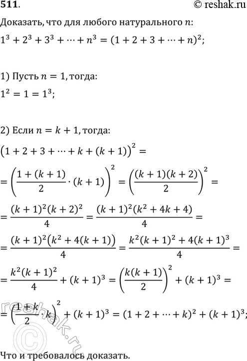
Ниже вариант решения задания из учебника Никольский, Потапов 9 класс, Просвещение:
511.
Задача аль-Караджи (Иран, XI в.). Докажите, что для любого натурального n выполняется равенство
1^3+2^3+3^3+...+n^3=(1+2+3+..+n)^2
