Упражнение 3.44 ГДЗ Дорофеев Суворова 7 класс (Алгебра)
Действуем по правилу (272—273) 272 Раскройте скобки: а) а + (b - с + d); б) а - (b - с — d);

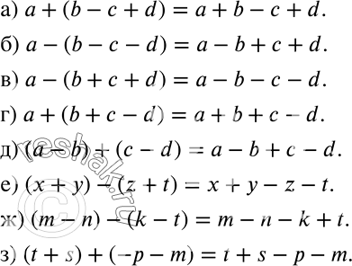
Ниже вариант решения задания из учебника Дорофеев, Суворова, Бунимович 7 класс, Просвещение:
Действуем по правилу (272—273)
272 Раскройте скобки:
а) а + (b - с + d);
б) а - (b - с — d);
в) а - (b + с + d);
г) а + (b + с - d);
д) (a-b) + (c- d);
е) (х + у) - (z + t);
ж) (m - n) - (k - t);
з) (t + s) + (-р - m).
