Упражнение 3.42 ГДЗ Дорофеев Суворова 7 класс (Алгебра)
Подставьте в каждое из выражений 2х, х2, x3 вместо переменной х выражение -у и упростите получившееся выражение. *Цитирирование задания со ссылкой на учебник производится исключительно в учебных целях для лучшего понимания разбора решения задания.

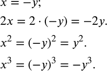
Ниже вариант решения задания из учебника Дорофеев, Суворова, Бунимович 7 класс, Просвещение:
Подставьте в каждое из выражений 2х, х2, x3 вместо переменной х выражение -у и упростите получившееся выражение.
