Упражнение 3.40 ГДЗ Дорофеев Суворова 7 класс (Алгебра)
Упростите произведение: а) 6a(ab)2b3; б) (ху)2 * (ху)3; в) а(-ас)2; г) -c(cd)2; д) -z(-x2)(-xz); е) ab2(ab)2. *Цитирирование задания со ссылкой на учебник производится исключительно в учебных целях для лучшего понимания разбора решения задания.

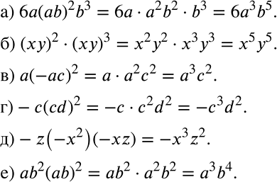
Ниже вариант решения задания из учебника Дорофеев, Суворова, Бунимович 7 класс, Просвещение:
Упростите произведение:
а) 6a(ab)2b3;
б) (ху)2 * (ху)3;
в) а(-ас)2;
г) -c(cd)2;
д) -z(-x2)(-xz);
е) ab2(ab)2.
