Упражнение 3.43 ГДЗ Дорофеев Суворова 7 класс (Алгебра)
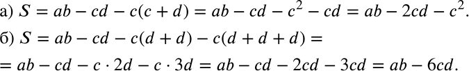
Составьте формулу для вычисления площади S фигуры (рис. 3.7, а, б). *Цитирирование задания со ссылкой на учебник производится исключительно в учебных целях для лучшего понимания разбора решения задания.

Ниже вариант решения задания из учебника Дорофеев, Суворова, Бунимович 7 класс, Просвещение:
Составьте формулу для вычисления площади S фигуры (рис. 3.7, а, б).
