Упражнение 3.45 ГДЗ Дорофеев Суворова 7 класс (Алгебра)
Какое из следующих равенств верно: 1) a-(b + c-d) = a-b + c-d; 2) a-(b + с- d) = a-b — c-d;

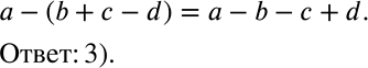
Ниже вариант решения задания из учебника Дорофеев, Суворова, Бунимович 7 класс, Просвещение:
Какое из следующих равенств верно:
1) a-(b + c-d) = a-b + c-d;
2) a-(b + с- d) = a-b — c-d;
3) a-(b + c-d) = a-b-c + d?
