Упражнение 6.120 ГДЗ Дорофеев Суворова 7 класс (Алгебра)
Применяем алгебру Найдите значение выражения при заданном значении переменной: а) (z + 2)(z + 3) - z(z + 1), z = -6,5;

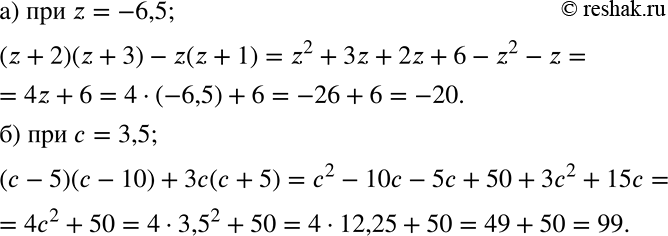
Ниже вариант решения задания из учебника Дорофеев, Суворова, Бунимович 7 класс, Просвещение:
Применяем алгебру Найдите значение выражения при заданном значении переменной:
а) (z + 2)(z + 3) - z(z + 1), z = -6,5;
б) (с - 5)(с - 10) + 3с(с + 5), с = 3,5.
