Упражнение 6.139 ГДЗ Дорофеев Суворова 7 класс (Алгебра)
Доказываем Докажите, что: а) (а - b)2 = (b - а)2; б) (х + у)2 = (-x - y)2. *Цитирирование задания со ссылкой на учебник производится исключительно в учебных целях для лучшего понимания разбора решения задания.

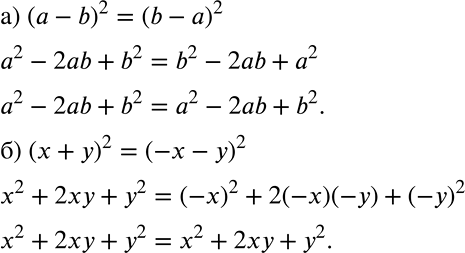
Ниже вариант решения задания из учебника Дорофеев, Суворова, Бунимович 7 класс, Просвещение:
Доказываем Докажите, что:
а) (а - b)2 = (b - а)2;
б) (х + у)2 = (-x - y)2.
