Упражнение 6.140 ГДЗ Дорофеев Суворова 7 класс (Алгебра)
Применяем алгебру С использованием формул квадрата суммы или квадрата разности можно в некоторых случаях легко выполнять возведение в квадрат чисел без умножения столбиком и без калькулятора.

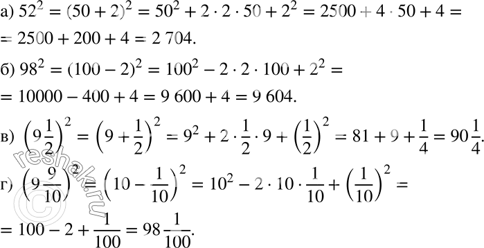
Ниже вариант решения задания из учебника Дорофеев, Суворова, Бунимович 7 класс, Просвещение:
Применяем алгебру С использованием формул квадрата суммы или квадрата разности можно в некоторых случаях легко выполнять возведение в квадрат чисел без умножения столбиком и без калькулятора. Например:
71^2 = (70 + 1)2 = 70^2 + 2 * 70 * 1 + 1^2 = 4900 + 140 + 1 = 5041;
59^2 = (60 - 1)2 = 3600 - 120 + 1 = 3481.
Вычислите таким же способом: а) 52^2; б) 98^2; в) (9*1/2)2; г) (9*9/10)2.
