Упражнение 6.153 ГДЗ Дорофеев Суворова 7 класс (Алгебра)
Упростите выражение: а) (у + 2)2 - 2(y + 1)2; б) 4(2 - x)2 + 5(х - 5)2; в) (3 - 5x)2 - (3х - 2)(5х + 1);

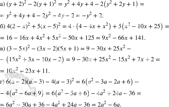
Ниже вариант решения задания из учебника Дорофеев, Суворова, Бунимович 7 класс, Просвещение:
Упростите выражение:
а) (у + 2)2 - 2(y + 1)2;
б) 4(2 - x)2 + 5(х - 5)2;
в) (3 - 5x)2 - (3х - 2)(5х + 1);
г) 6(а - 2)(а - 3) - 4(а - 3)2.
