Упражнение 6.155 ГДЗ Дорофеев Суворова 7 класс (Алгебра)
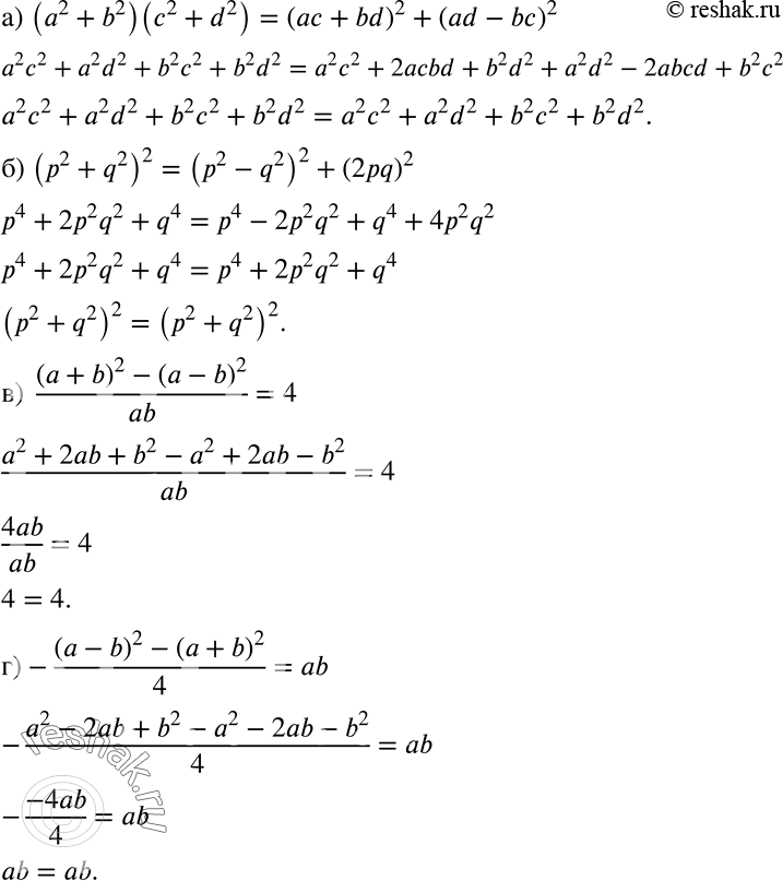
Доказываем (746 — 748) 746 Докажите, что: а) (а2 + b2)(c2 + d2) = (ас + bd)2 + (ad - bc)2;

Ниже вариант решения задания из учебника Дорофеев, Суворова, Бунимович 7 класс, Просвещение:
Доказываем (746 — 748)
746 Докажите, что:
а) (а2 + b2)(c2 + d2) = (ас + bd)2 + (ad - bc)2;
б) (р2 + q2)2 = (p2 - q2)2 + (2pq)2;
в) ((a+b2)2 - (a-b)2)/ab = 4;
г) -((a-b)2 - (a+b)2)/4 = ab.
