Упражнение 6.157 ГДЗ Дорофеев Суворова 7 класс (Алгебра)
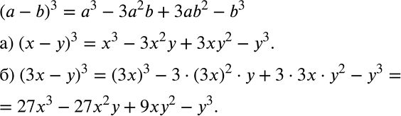
Выведите формулу куба разности (а - b)3 = а3 - 3а2b + 3аb2 - b3. С помощью этой формулы представьте в виде многочлена:

Ниже вариант решения задания из учебника Дорофеев, Суворова, Бунимович 7 класс, Просвещение:
Выведите формулу куба разности
(а - b)3 = а3 - 3а2b + 3аb2 - b3.
С помощью этой формулы представьте в виде многочлена:
а) (x - у)3; б) (3х - у)3.
