Упражнение 6.156 ГДЗ Дорофеев Суворова 7 класс (Алгебра)
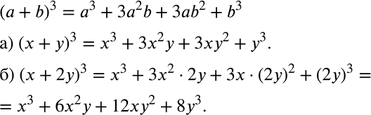
Выведите формулу куба суммы (а + b)3 = а3 -+ 3а2b + Заb2 + b3. Пользуясь этой формулой, преобразуйте выражение: а) (х + у)3;

Ниже вариант решения задания из учебника Дорофеев, Суворова, Бунимович 7 класс, Просвещение:
Выведите формулу куба суммы
(а + b)3 = а3 -+ 3а2b + Заb2 + b3.
Пользуясь этой формулой, преобразуйте выражение: а) (х + у)3; б) (х + 2у)3.
