Упражнение 6.154 ГДЗ Дорофеев Суворова 7 класс (Алгебра)
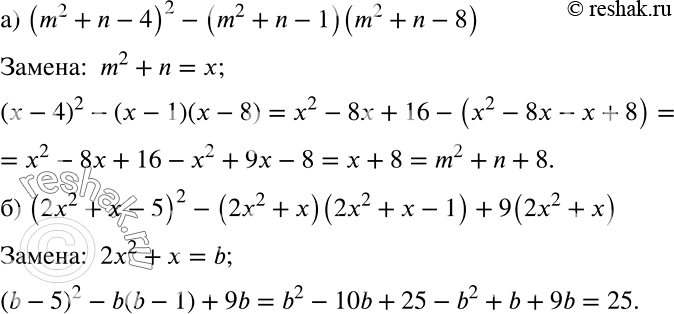
Упростите выражение: а) (m2 + n - 4)2 - (m2 + n - 1 )(m2 + n - 8); б) (2х2 + х - 5)2 - (2x2 + х)(2х2 + х - 1) + 9(2x2 + х).

Ниже вариант решения задания из учебника Дорофеев, Суворова, Бунимович 7 класс, Просвещение:
Упростите выражение:
а) (m2 + n - 4)2 - (m2 + n - 1 )(m2 + n - 8);
б) (2х2 + х - 5)2 - (2x2 + х)(2х2 + х - 1) + 9(2x2 + х).
Подсказка. Сделайте удобную замену.
