Упражнение 6.158 ГДЗ Дорофеев Суворова 7 класс (Алгебра)
Пользуясь формулами квадрата суммы и квадрата разности, представьте в виде многочлена выражение: а) (а + b)4; б) (а - b)4. *Цитирирование задания со ссылкой на учебник производится исключительно в учебных целях для лучшего понимания разбора решения задания.

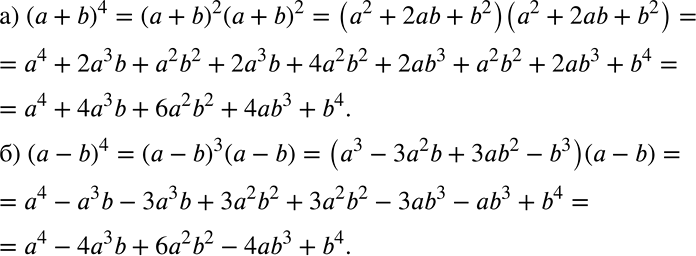
Ниже вариант решения задания из учебника Дорофеев, Суворова, Бунимович 7 класс, Просвещение:
Пользуясь формулами квадрата суммы и квадрата разности, представьте в виде многочлена выражение:
а) (а + b)4; б) (а - b)4.
