Упражнение 6.159 ГДЗ Дорофеев Суворова 7 класс (Алгебра)
Представьте в виде квадрата двучлена: а) (2а + 3b)2 - 8b(2а + b); б) (3х - 2у)2 + 5х(4у - х).

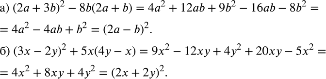
Ниже вариант решения задания из учебника Дорофеев, Суворова, Бунимович 7 класс, Просвещение:
Представьте в виде квадрата двучлена:
а) (2а + 3b)2 - 8b(2а + b);
б) (3х - 2у)2 + 5х(4у - х).
