Упражнение 6.33 ГДЗ Дорофеев Суворова 7 класс (Алгебра)
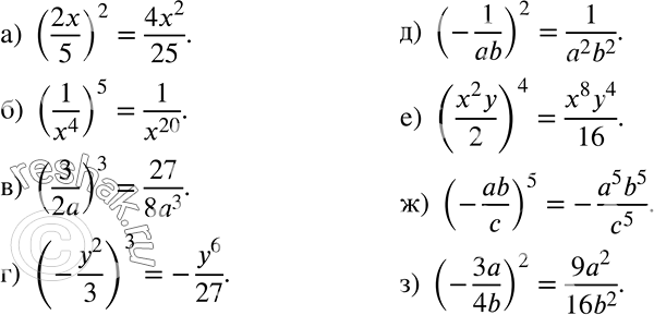
Возведите дробь в степень: а) (2x/5)2; б) (1/x4)5; в) (3/2a)3; г) (-y2/3)3; д) (-1/ab)2; е) (x2y/2)4; ж) (-ab/c)5; з) (-3a/4b)2. *Цитирирование задания со ссылкой на учебник производится исключительно в учебных целях для лучшего понимания разбора решения задания.

Ниже вариант решения задания из учебника Дорофеев, Суворова, Бунимович 7 класс, Просвещение:
Возведите дробь в степень:
а) (2x/5)2;
б) (1/x4)5;
в) (3/2a)3;
г) (-y2/3)3;
д) (-1/ab)2;
е) (x2y/2)4;
ж) (-ab/c)5;
з) (-3a/4b)2.
