Упражнение 6.29 ГДЗ Дорофеев Суворова 7 класс (Алгебра)
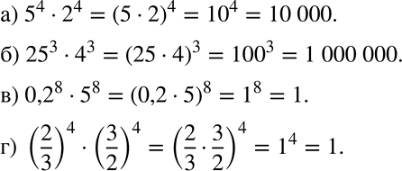
Применяем алгебру Вычислите: а) 5^4 * 2^4; б) 25^3 * 4^3; в) 0,2^8 * 5^8; г) (2/3)4 * (3/2)4. *Цитирирование задания со ссылкой на учебник производится исключительно в учебных целях для лучшего понимания разбора решения задания.

Ниже вариант решения задания из учебника Дорофеев, Суворова, Бунимович 7 класс, Просвещение:
Применяем алгебру Вычислите:
а) 5^4 * 2^4;
б) 25^3 * 4^3;
в) 0,2^8 * 5^8;
г) (2/3)4 * (3/2)4.
