Упражнение 6.31 ГДЗ Дорофеев Суворова 7 класс (Алгебра)
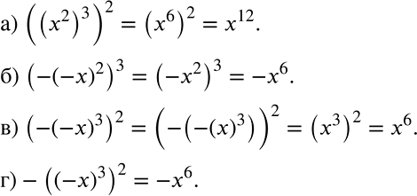
Выполните возведение в степень: а) ((x2)3)2; б) (-(-x)2)3; в) (-(-x)3)2; г) -((-x)3)2. *Цитирирование задания со ссылкой на учебник производится исключительно в учебных целях для лучшего понимания разбора решения задания.

Ниже вариант решения задания из учебника Дорофеев, Суворова, Бунимович 7 класс, Просвещение:
Выполните возведение в степень:
а) ((x2)3)2;
б) (-(-x)2)3;
в) (-(-x)3)2;
г) -((-x)3)2.
