Упражнение 6.35 ГДЗ Дорофеев Суворова 7 класс (Алгебра)
Упростите (575—577). 575 а) 3х * (2x)3; б) 4b * (3b)3; в) -2а * (ab)2; г) (х2у)3 * (-х); д) 2y * (-4у)2;

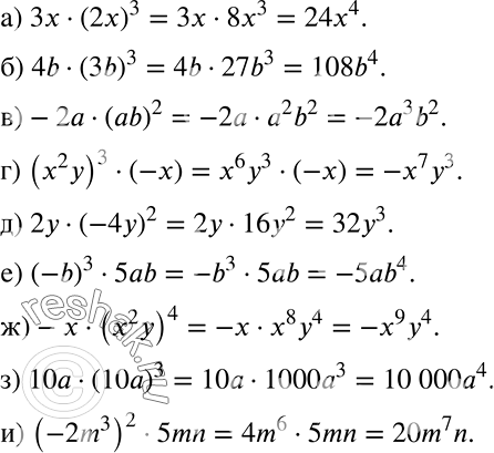
Ниже вариант решения задания из учебника Дорофеев, Суворова, Бунимович 7 класс, Просвещение:
Упростите (575—577).
575 а) 3х * (2x)3;
б) 4b * (3b)3;
в) -2а * (ab)2;
г) (х2у)3 * (-х);
д) 2y * (-4у)2;
е) (-b)3 * 5ab;
ж) -х-(х2у)4;
з) 10а * (10а)3;
и) (-2m3)2 * 5mn.
