Упражнение 6.36 ГДЗ Дорофеев Суворова 7 класс (Алгебра)
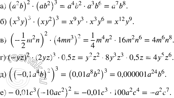
а) (а2b)2 * (ab2)3; б) (х3у)3 * (ху2)3; в) (-1/2*m2n)2 * (4mn3)2; г) (-yz)2 * (2yz)3 * 0,5z; д) ((-0,1а4b)2)3; е) -0,01c3(-10ac2)2.

Ниже вариант решения задания из учебника Дорофеев, Суворова, Бунимович 7 класс, Просвещение:
а) (а2b)2 * (ab2)3;
б) (х3у)3 * (ху2)3;
в) (-1/2*m2n)2 * (4mn3)2;
г) (-yz)2 * (2yz)3 * 0,5z;
д) ((-0,1а4b)2)3;
е) -0,01c3(-10ac2)2.
