Упражнение 6.34 ГДЗ Дорофеев Суворова 7 класс (Алгебра)
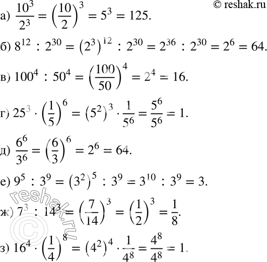
Применяем алгебру Вычислите: а) 10^3/2^3; б) 8^12 : 2^30; в) 100^4 : 50^4; г) 25^3 * (1/5)6; д) 6^6/3^6; е) 9^5 :

Ниже вариант решения задания из учебника Дорофеев, Суворова, Бунимович 7 класс, Просвещение:
Применяем алгебру Вычислите:
а) 10^3/2^3;
б) 8^12 : 2^30;
в) 100^4 : 50^4;
г) 25^3 * (1/5)6;
д) 6^6/3^6;
е) 9^5 : 3^9;
ж) 7^3 : 14^3;
з) 16^4 * (1/4)8.
