Упражнение 6.65 ГДЗ Дорофеев Суворова 7 класс (Алгебра)
Упростите выражение: а) (7x + у)- (-х - 2у); б) (b - 3) - (2b + 2); в) (x2 - 3x) - (2x + 1);

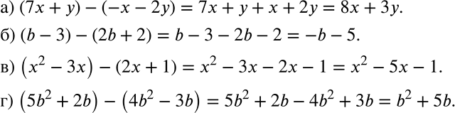
Ниже вариант решения задания из учебника Дорофеев, Суворова, Бунимович 7 класс, Просвещение:
Упростите выражение:
а) (7x + у)- (-х - 2у);
б) (b - 3) - (2b + 2);
в) (x2 - 3x) - (2x + 1);
г) (5b2 + 2b) - (4b2 - 3b).
