Упражнение 6.66 ГДЗ Дорофеев Суворова 7 класс (Алгебра)
Раскройте скобки: а) (10а - 2b + 5с) - (-5а + 20b - с); б) (16m - 11а - 7mn) - (6mn - 10а + 16m);

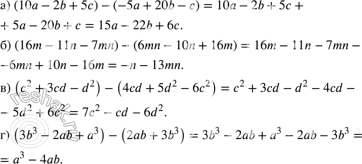
Ниже вариант решения задания из учебника Дорофеев, Суворова, Бунимович 7 класс, Просвещение:
Раскройте скобки:
а) (10а - 2b + 5с) - (-5а + 20b - с);
б) (16m - 11а - 7mn) - (6mn - 10а + 16m);
в) (с2 + 3cd - d2) - (4cd + 5d2 - 6c2);
г) (3b3 - 2аb + а3) - (2аb + 3b3).
