Упражнение 6.67 ГДЗ Дорофеев Суворова 7 класс (Алгебра)
Составьте сумму и разность многочленов и упростите получившиеся выражения: а) 6а2 - За + 1 и 6а2 - 1; б) n3 + 2n2 - n + 1 и 1 - n3;

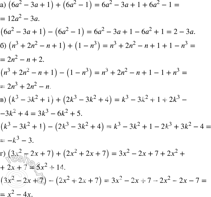
Ниже вариант решения задания из учебника Дорофеев, Суворова, Бунимович 7 класс, Просвещение:
Составьте сумму и разность многочленов и упростите получившиеся выражения:
а) 6а2 - За + 1 и 6а2 - 1;
б) n3 + 2n2 - n + 1 и 1 - n3;
в) k3 - 3k2 + 1 и 2k3 - 3k2 + 4;
г) 3x2 - 2x + 7 и 2x2 + 2х + 7.
