Упражнение 6.70 ГДЗ Дорофеев Суворова 7 класс (Алгебра)
Раскройте скобки: а) -(а + b); б) -(m-n); в) -(-с - b); г) -(x-y-z); д) -(3а + 2b -с); е) -(5z - х + у).

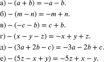
Ниже вариант решения задания из учебника Дорофеев, Суворова, Бунимович 7 класс, Просвещение:
Раскройте скобки:
а) -(а + b);
б) -(m-n);
в) -(-с - b);
г) -(x-y-z);
д) -(3а + 2b -с);
е) -(5z - х + у).
