Упражнение 6.74 ГДЗ Дорофеев Суворова 7 класс (Алгебра)
Представьте многочлен в виде суммы и в виде разности двух каких-либо двучленов (проверьте, раскрыв мысленно скобки, правильно ли вы выполнили задание):

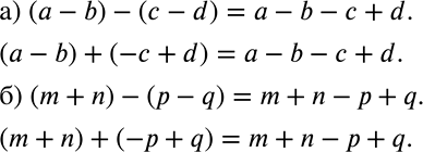
Ниже вариант решения задания из учебника Дорофеев, Суворова, Бунимович 7 класс, Просвещение:
Представьте многочлен в виде суммы и в виде разности двух каких-либо двучленов (проверьте, раскрыв мысленно скобки, правильно ли вы выполнили задание):
а) а-b-с + d;
б) m + n -р + q.
