Упражнение 6.75 ГДЗ Дорофеев Суворова 7 класс (Алгебра)
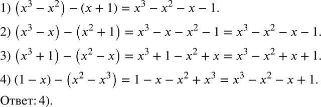
Многочлен х3 - х2 - х + 1 представили в виде разности двучленов. Найдите эту разность среди приведённых ниже выражений. 1) (х3 - х2) - (х + 1) 2) (х3 - х) - (х2 + 1) 3) (х3 + 1) - (х2 - х) 4) (1 - х) - (х2 - х3) *Цитирирование задания со ссылкой на учебник производится исключительно в учебных целях для лучшего понимания разбора решения задания.

Ниже вариант решения задания из учебника Дорофеев, Суворова, Бунимович 7 класс, Просвещение:
Многочлен х3 - х2 - х + 1 представили в виде разности двучленов. Найдите эту разность среди приведённых ниже выражений.
1) (х3 - х2) - (х + 1)
2) (х3 - х) - (х2 + 1)
3) (х3 + 1) - (х2 - х)
4) (1 - х) - (х2 - х3)
