Упражнение 6.79 ГДЗ Дорофеев Суворова 7 класс (Алгебра)
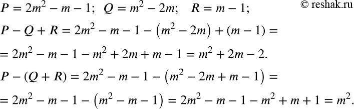
Упростите выражения Р - Q + R и Р -(Q + R), если Р = 2m2 - m - 1, Q = m2 - 2m, R = m - 1.

Ниже вариант решения задания из учебника Дорофеев, Суворова, Бунимович 7 класс, Просвещение:
Упростите выражения Р - Q + R и Р -(Q + R), если Р = 2m2 - m - 1, Q = m2 - 2m, R = m - 1.
