Упражнение 6.77 ГДЗ Дорофеев Суворова 7 класс (Алгебра)
Анализируем и рассуждаем Не меняя ни одного знака, расставьте скобки так, чтобы выполнялось равенство: а) х2 - 3х + 1 - х2 - 3х - 1 = 2;

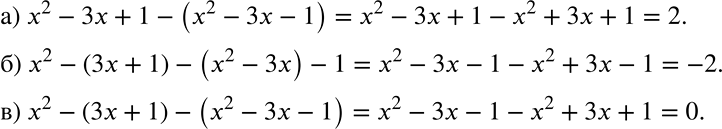
Ниже вариант решения задания из учебника Дорофеев, Суворова, Бунимович 7 класс, Просвещение:
Анализируем и рассуждаем Не меняя ни одного знака, расставьте скобки так, чтобы выполнялось равенство:
а) х2 - 3х + 1 - х2 - 3х - 1 = 2;
б) х2 - 3х + 1 - х2 - 3x - 1 = -2;
в) х2 - 3х + 1 - х2 - 3х - 1 =0.
