Упражнение 6.78 ГДЗ Дорофеев Суворова 7 класс (Алгебра)
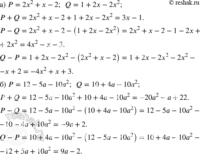
Упростите выражения P + Q, Р - Q и Q - Р, если: а) Р = 2х2 + х - 2, Q = 1+ 2х- 2х2;

Ниже вариант решения задания из учебника Дорофеев, Суворова, Бунимович 7 класс, Просвещение:
Упростите выражения P + Q, Р - Q и Q - Р, если:
а) Р = 2х2 + х - 2, Q = 1+ 2х- 2х2;
б) Р = 12-5a- 10а2, Q = 10 + 4а - 10а2.
