Упражнение 7.104 ГДЗ Дорофеев Суворова 7 класс (Алгебра)
а) n4 + n2 + 1; б) n8 + n4 + 1. *Цитирирование задания со ссылкой на учебник производится исключительно в учебных целях для лучшего понимания разбора решения задания.

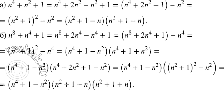
Ниже вариант решения задания из учебника Дорофеев, Суворова, Бунимович 7 класс, Просвещение:
а) n4 + n2 + 1;
б) n8 + n4 + 1.
